Note
Go to the end to download the full example code.
Simulating PV system DC output using the ADR module efficiency model#
Time series processing with the ADR model is really easy.
This example reads a TMY3 weather file, and runs a basic simulation on a fixed latitude-tilt system. Efficiency is independent of system size, so adjusting the system capacity is just a matter of setting the desired value, e.g. P_STC = 5000.
Author: Anton Driesse
import os
import pandas as pd
import matplotlib.pyplot as plt
import pvlib
from pvlib import iotools, location
from pvlib.irradiance import get_total_irradiance
from pvlib.pvarray import pvefficiency_adr
Read a TMY3 file containing weather data and select needed columns
PVLIB_DIR = pvlib.__path__[0]
DATA_FILE = os.path.join(PVLIB_DIR, 'data', '723170TYA.CSV')
tmy, metadata = iotools.read_tmy3(DATA_FILE, coerce_year=1990,
map_variables=True)
df = pd.DataFrame({'ghi': tmy['ghi'], 'dhi': tmy['dhi'], 'dni': tmy['dni'],
'temp_air': tmy['temp_air'],
'wind_speed': tmy['wind_speed'],
})
Shift timestamps to middle of hour and then calculate sun positions
Determine total irradiance on a fixed-tilt array
TILT = metadata['latitude']
ORIENT = 180
total_irrad = get_total_irradiance(TILT, ORIENT,
solpos.apparent_zenith, solpos.azimuth,
df.dni, df.ghi, df.dhi)
df['poa_global'] = total_irrad.poa_global
Estimate the expected operating temperature of the PV modules
df['temp_pv'] = pvlib.temperature.faiman(df.poa_global, df.temp_air,
df.wind_speed)
Now we’re ready to calculate PV array DC output power based on POA irradiance and PV module operating temperature. Among the models available in pvlib-python to do this are:
PVWatts
SAPM
single-diode model variations
And now also the ADR PV efficiency model
Simulation is done in two steps:
first calculate efficiency using the ADR model,
then convert (scale up) efficiency to power.
# Borrow the ADR model parameters from the other example:
adr_params = {'k_a': 0.99924,
'k_d': -5.49097,
'tc_d': 0.01918,
'k_rs': 0.06999,
'k_rsh': 0.26144
}
df['eta_rel'] = pvefficiency_adr(df['poa_global'], df['temp_pv'], **adr_params)
# Set the desired array size:
P_STC = 5000. # (W)
# and the irradiance level needed to achieve this output:
G_STC = 1000. # (W/m2)
df['p_mp'] = P_STC * df['eta_rel'] * (df['poa_global'] / G_STC)
Show how power and efficiency vary with both irradiance and temperature
plt.figure()
pc = plt.scatter(df['poa_global'], df['eta_rel'], c=df['temp_pv'], cmap='jet')
plt.colorbar(label='Temperature [C]', ax=plt.gca())
pc.set_alpha(0.25)
plt.grid(alpha=0.5)
plt.ylim(0.48)
plt.xlabel('Irradiance [W/m²]')
plt.ylabel('Relative efficiency [-]')
plt.show()
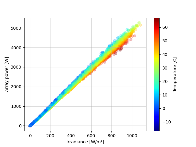
plt.figure()
pc = plt.scatter(df['poa_global'], df['p_mp'], c=df['temp_pv'], cmap='jet')
plt.colorbar(label='Temperature [C]', ax=plt.gca())
pc.set_alpha(0.25)
plt.grid(alpha=0.5)
plt.xlabel('Irradiance [W/m²]')
plt.ylabel('Array power [W]')
plt.show()
One day:
DEMO_DAY = '1990-08-05'
plt.figure()
plt.plot(df['p_mp'][DEMO_DAY])
plt.xticks(rotation=30)
plt.ylabel('Power [W]')
plt.show()

References#
Total running time of the script: (0 minutes 0.514 seconds)

